METCOG

Metacognition and personality as modulators of planned behaviour

HONDA diagram


❓ How do we make decisions for the future? And importantly, how do we accurately assess that what people tell us they will do regarding the future, they will actually follow up with doing?

πŸ“ A challenge within this space is that people very often change their mind when making decisions for their future selves, for example, when initially pledging to stick with a diet, or choosing a destination to go on holiday. The assessment of future preferences within applied consumer psychology rely primarily upon self-report methods to understand and predict consumer behaviour. However, these methods, whilst quick, easy to implement and cheap, are ineffective in their predictive accuracy. This is because making decisions for one’s future-self relies upon multiple cognitive processes that cannot be captured by self-report.

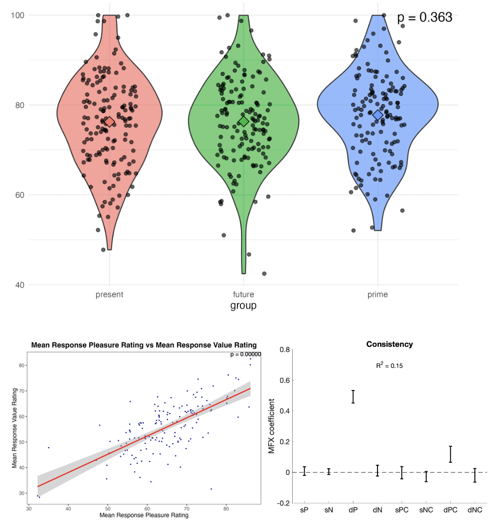
πŸ“ 🍌 To understand the discrepancy between consumers future choice vs actual behaviour, in a series of studies, we analysed snack preferences using a mixed-effects general linear model (GLM), a repeat of an earlier study (1). We then added two more conditions, a future condition, where snack preferences were chosen for one’s future self, and a β€˜future-primed’ condition, where we attempted to experimentally manipulate snack choice through nudging.

🍫 πŸͺ Ultimately, we aim to demonstrate changes in the contribution of the snack attributes (pleasure, nutrition and value) towards choice in each of the conditions, and importantly, to demonstrate that self-reported preferences of snack choice are not compatible with chocies predicted by the models. Subsequently, this will reinforce the notion that self-reported methods are incompatible when predicting consumer choice.

πŸ•°οΈ Results/publications and open-access data coming soon!

References:

1) Lee, D. G., & Hare, T. A. (2023). Value certainty and choice confidence are multidimensional constructs that guide decision-making. Cognitive, Affective, & Behavioral Neuroscience, 1-19.

🌐 Team:

University of Reading:

Professor Anastasia Christakou (Centre for Integrative Neuroscience and Neurodynamics, PI)
Dr Nico Biagi (Henley Business School)

External:

Dr Todd Hare (University of Zurich)
Dr Douglas Lee (Tel Aviv University)